长辈说的“春捂秋冻”不是迷信,医学研究发现:乱减衣服真的更容易生病
春捂秋冻,春季不宜过早减衣,秋末再逐渐减少 #生活知识# #生活经验# #季节穿衣#
「春捂秋冻」听起来像经验之谈,甚至带点民间色彩,但是如果认真理解,这代表了一种风险管理思路——在气温剧烈波动的季节,把受凉、出汗后被风吹凉、室内外反复冷热切换这些叠加风险尽量降下来。

一、气温变化与呼吸道感染:气候不是背景板,而是变量
从全球尺度看,气候因素与呼吸道病毒感染之间存在稳定关联。2026年发表于《Environment International》的一项系统评价与荟萃分析,整合了108项研究、共计922万例病毒性呼吸道感染病例数据,发现气温是最主要的驱动因素之一[1]。在温带地区,低温和低湿度条件下,大多数病毒的感染风险上升。
在城市环境中,这种趋势也被反复验证。一项系统综述纳入21项研究,发现19项中有11项报告低温与上呼吸道感染风险增加相关[2]。而在人口密集地区,这种关联更为明显。
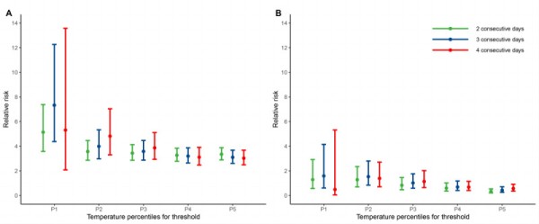
如果把时间尺度拉长,寒潮的影响更加直观。2024年基于中国325个监测点、2014—2019年数据的时间序列研究显示,在寒潮期间,流感发病风险显著上升,总体相对风险达到3.35倍[3]。而且寒潮发生在冬季中段时,影响更强。
寒潮 (A) 总体影响和 (B) 寒潮叠加影响导致的流感发病率相对风险
这意味着什么?意味着在季节交替、冷空气突然南下时,感染风险并不是线性变化,而是会在短时间内抬高。
“春捂”在这样的背景下,其实是在帮身体跨过温度波动的风险窗口。
二、冷空气对鼻腔防线的直接影响:免疫不是恒定的
有人会问:冷一点真的会“着凉”吗?病毒不是靠传染源传播吗?
传播固然重要,但宿主的防御能力同样关键。2023年《Journal of Allergy and Clinical Immunology》的一项基础研究给出了机制层面的证据[4]。研究者发现,当鼻腔暴露在较低环境温度下时,鼻上皮细胞分泌的胞外囊泡数量下降,这些囊泡本身具有中和病毒、传递抗病毒微小RNA的功能。冷暴露会降低囊泡分泌量、减少抗病毒成分的装载,并削弱其与病毒结合的能力。
寒冷暴露会损害细胞外囊泡群所介导的鼻腔抗病毒免疫反应
换句话说,鼻腔的“第一道防线”在低温环境下确实会变弱。
另一项发表于《PNAS》的研究也显示,不同人类冠状病毒在33℃与37℃下的复制能力存在差异[5]。33℃接近上呼吸道温度,而37℃接近核心体温。部分季节性冠状病毒在较低温度下复制更活跃。
HCoV-NL63 和 SARS-CoV-2 的复制受温度调节,而 MERS-CoV 的复制则不受温度调节
如果我们在早春时骤然减少衣物,让鼻腔长期处于冷空气刺激之下,就可能在病毒存在的情况下增加易感性。
三、室内冷环境与健康:18℃并不是随意数字
除了室外温度,室内环境同样重要。2023年一项系统评价指出,室内温度低于18℃与多种健康不良结局相关,包括呼吸系统症状和心血管指标异常[6]。世界卫生组织也建议在寒冷季节将室温维持在至少18℃,对儿童、老年人和慢病患者甚至应更高。

而儿童群体对冷环境尤为敏感。关于住房质量与室内空气的综述指出,寒冷、潮湿和通风不良的环境会增加儿童呼吸系统疾病风险[7]。
这也解释了为什么“春捂”不仅是多穿衣服,更包含避免室内外频繁冷热交替的生活策略。早春时室外日间回暖,但夜间仍低温,如果室内保暖不足,叠加外出降温,很容易形成连续冷暴露。
四、那春节到底该多穿还是少穿?
科学的答案不是简单的“多”或“少”,而是“渐进”。
在气温波动大的时段,不宜一次性大幅减衣。可以采取分层穿衣,方便根据体感及时增减;注意颈部、腹部和足部保暖,这些部位血管丰富,对寒冷较敏感;外出运动后及时更换汗湿衣物,避免汗液蒸发带来的快速散热。
室内应尽量维持18℃以上的环境温度,夜间尤其要注意。老人和儿童不应因白天气温回升而过早撤去厚被或保暖措施。
更现实的是,要识别高风险时段。寒潮预警期间、昼夜温差超过10℃的几天内、连续阴雨湿冷时段,都应适当“多捂一捂”。
“春捂秋冻”并不是让人盲目保守,而是在提醒我们:身体的适应能力需要缓冲时间。气候变迁让季节边界更加模糊,温度波动更加频繁。与其用意志硬扛,不如用层次化穿衣、稳定室温和避免骤冷骤热的方式,降低组合风险。
长辈那句叮嘱,并不是迷信,而是一种在长期观察中形成的生活策略。它与现代研究的方向并不冲突。
参考文献
[1] Shang X, Zheng J, Liu X, et al. Climatic factors drive global viral respiratory infections with regional heterogeneity: A systematic review and meta-analysis. Environment International. 2026;208:110120.
[2] Hyrkäs-Palmu H, Hugg TT, Jaakkola JJK, et al. The influence of weather and urban environment characteristics on upper respiratory tract infections: a systematic review. Front Public Health. 2025;13:1487125.
[3] Wang H, Geng M, Schikowski T, et al. Increased Risk of Influenza Infection During Cold Spells in China: National Time Series Study. JMIR Public Health Surveill. 2024;10:e55822.
[4] Huang D, Taha MS, Nocera AL, et al. Cold exposure impairs extracellular vesicle swarm–mediated nasal antiviral immunity. J Allergy Clin Immunol. 2023;151(2):509-525.
[5] Otter CJ, Fausto A, Tan LH, et al. Infection of primary nasal epithelial cells differentiates among lethal and seasonal human coronaviruses. Proc Natl Acad Sci U S A. 2023;120(15):e2218083120.
[6] Janssen H, Ford K, Gascoyne B, et al. Cold indoor temperatures and their association with health and well-being: a systematic literature review. Public Health. 2023;224:185-194.
[7] Holden KA, Lee AR, Hawcutt DB, Sinha IP. The impact of poor housing and indoor air quality on respiratory health in children. Breathe. 2023;19:230058.
网址:长辈说的“春捂秋冻”不是迷信,医学研究发现:乱减衣服真的更容易生病 https://klqsh.com/news/view/344701
相关内容
春捂秋冻,秋季要冻?秋季孩子穿对衣服,不容易生病,穿衣有方法春捂秋冻:如何科学地适应季节变化?
孩子该如何科学"秋冻"?衣服应该...
春捂秋冻:智慧应对季节变化的科学实践
春捂秋冻:温度适应与健康方法指南
秋季穿衣新主张:走出“春捂秋冻”的误区
又到“乱穿衣”的季节,春季穿衣指南一定要看!
【科普热点】又到“乱穿衣”的季节,春季穿衣指南一定要看!
春季的中医养生之道
科普看台丨入秋渐微凉,这些疾病须预防——“顺天”度秋健康指南

